常用連結
eClass login
首頁
認識「港天」
學校介紹
辦學宗旨
法團校董會
專業團隊
校歌
學校介紹短片
「小眼睛,看Peter」
家長心聲
學校簡介
校長的話
校園遊蹤
Super Fun Campus
圖書館
智趣港天深度遊 3D Virtual tour
學校發展
學校計劃及報告
外評報告
各項政策
傳媒報道
學校獎項
學與教天地
學科教學
課程特色
課程發展
閱讀滿fun
港「STEAM」天空
資優教育
學習園地
宗教
中文
英文
數學
常識
體育
音樂
電腦
視覺藝術
普通話
跨學科
E-learning 教室
環境教育
學生培育與支援
宗教園地
宗教培育
基督小先鋒
宗教活動
宗教網址推介
學生學習支援
及早識別
言語治療
課後支援
「全校參與」模式融合教育
校本輔導活動
校本輔導活動
親子成長課
成長的天空
遇見未來的自己
A+家長教育獎勵計劃
緣起
理念
A+家長教育課程
課程特色
大綱
章程
生涯規劃教育
學生事務
家長手冊
家長 e-Class app 使用說明
校車服務
校服式樣
午膳安排
保險
電子繳費
正向培育
班級經營
班口號設計比賽
班徽設計比賽
班際防疫衛生清潔比賽
價值觀教育
學生活動
港天頻道
語文台
趣味台
宗教台
才藝小舞台
智趣時光
智趣 Blog
樂在港天
Happy Friday
制服團隊
境外交流
學藝薈萃
課後活動班
刊物
校訊
English Chronicle
校外比賽及活動推介
香港文藝及學術協會第二屆全港公開比賽(*new)
南區中小學繪畫比賽
舞蹈繽紛日
東區分齡田徑比賽 2024
灣仔區分齡田徑比賽 2024
香港青年協會《中國歷史文化周》
低碳節能發明大賽
中秋親子環保花燈設計比賽
入學及升中
幼小銜接
小一入學
插班申請
升中資訊
學校夥伴
家教會
宗旨及會章
家教會活動
委員名單
財務報告
會訊
校友會
入會表格
校友會活動
幹事會
會章
通函
姊妹學校
長者學苑
首頁
>
最新消息
>
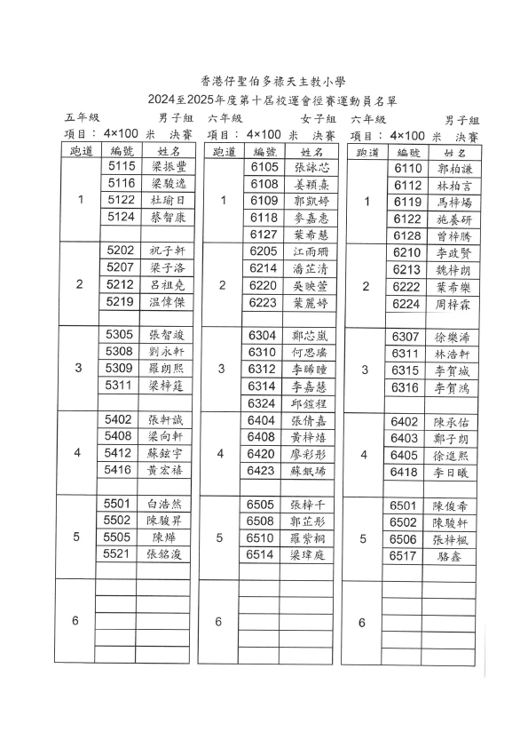
2024-2025年度第十屆校運會場刊
2024-2025年度第十屆校運會場刊
日期:
17/01/2025
返回
Top